一引言
载波跌落(Carrier Shift)是AM(调幅)广播发射机核心性能指标之一,核心用于评判设备在满调制工况下的载波输出稳定性,其物理本质是发射机以额定功率运行时,无调制状态与 100% 调幅(标准1kHz音频调制信号)状态下的载波振幅相对衰减比例(单位:百分比 %)。这一指标直接关联广播信号传输的一致性与可靠性——优质的载波跌落性能能确保发射机在高负载调制时,载波输出强度保持稳定,接收端收音机可解调得到清晰、连贯的音频信号;若载波跌落数值异常,会引发信号解调失真、覆盖范围波动、杂音增多等问题,严重影响听众接收体验。
在广电行业的生产质检、日常运维及合规性核查中,载波跌落的测试方法与性能评估严格遵循《GY/T 225-2007中、短波调幅广播发射机技术要求和测量方法》标准执行。该标准明确界定了载波跌落的定义与计算公式,并通过 “载波输出功率变化” 这一关联强制指标划定分级要求:甲级发射机≤±3%、乙级≤±4%、丙级≤±6%,该分级标准是发射机性能判定、合规审查的法定依据,为规范广播频段信号秩序、避免设备间干扰提供了核心技术支撑。
精准测量载波跌落的关键前提是选用符合标准要求的高性能测试设备。普通测试仪器常存在频率精度不足、调制分析误差大等问题,易导致载波振幅测量失真,影响结果可信度。RWC2500A Plus广播调制分析仪凭借1ppb的本振频率精度,能精准捕捉无调制与满调制状态下的载波振幅细微差异,从源头规避测试设备引入的系统误差;同时该设备覆盖500kHz~30MHz(AM)的工作频率范围,适配1kW及以上中短波AM发射机的测试场景,且完全兼容《GY/T 225-2007》标准中的测量流程与技术要求,为载波跌落指标的精准检测提供稳定、可靠的技术支撑。

二核心计算公式与主要影响因素
2.1 核心计算公式解读
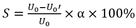
2.1.1 基础公式(供电稳定时)
说明:U0是无调制时载波振幅,U0′ 是 100% 调幅(标准 1kHz 音频信号)时载波振幅,直接计算两者的相对衰减比例,直观反映调制过程中载波稳定性。
2.1.2 修正公式(供电波动时)

说明:(U1为无调制时供电电压有效值,U1′为100%调制时供电电压有效值),用于补偿电网电压波动(超过±2%)带来的测量误差,确保结果贴合发射机真实性能。
2.2 主要影响因素
1.电源系统:高压整流器件、整流变压器及滤波扼流圈的内阻过大,100% 调制时发射机工作电流增大,会导致放大管供电电压下降;滤波电容容量不足、滤波级数不够,电源输出纹波变大,调制时电压波动加剧,均会造成载波振幅衰减。
2.放大级:高末放大管工作点设置不合理(静态电流过大或过小),满调制时易进入非线性工作区,无法维持稳定载波输出;放大管长期使用后老化、跨导降低,满负载调制时电流输出能力下降,会直接导致载波振幅衰减。
3.负载匹配:发射机输出负载与天线系统阻抗偏离 50Ω 标准值,会造成功率反射回放大级,破坏放大级工作稳定性;匹配网络中的电感、电容参数漂移,会使负载阻抗随调制频率变化,进一步放大载波跌落现象。
4.环境与供电:测试环境中变频器、高压设备产生的强电磁干扰,会叠加在载波信号上,导致振幅测量失真;电网电压骤升骤降、三相电压不平衡,会直接传递到发射机电源输入端,造成载波振幅异常波动,影响测量准确性。 三测量方法
标准《GY/T 225-2007》中载波跌落测量框图如下,本篇文章的测量方法使用的核心设备为RWC2500A Plus。

3.1 设备连接

3.2 测试流程
RWC2500A Plus具备调制分析模块,音频分析模块和基带音频信号输出模块,测量信噪比时我们需要使用基带音频信号输出模块,将基带音频信号输入到发射机的音频输入端口,在发射机调制为广播后将接过负载和TEST信号输入RWC2500A Plus的射频信号输入接口,使用调制分析模块进行分析。测试前按下FREQ按键设置中心频率,确保RWC2500A Plus与发射机频率一致。
3.2.1 基带音频信号发生
1、使用RWC2500A Plus的基带音频信号发生模块时,首先可以在Audio Generator界面选择Rear Port,在此界面可快速调整所需的音频输出接口(平衡/非平衡/数字),选择好之后进入下一步。

2、在此步骤中,用户可调节音频信号的电平和频率,测试载波跌落时一般以1KHz音频信号为主。设置好频率之后可在此界面调整音频电平的大小,调整同时可观察到右上角,AM模式下确保AM Depth在100%左右。

3.2.2 调制分析
1、在Modulation Analyzer的上拉菜单中进入Carrier Shift界面,界面右侧Mode设置为AUTO,Ref FREQ设置为1kHz,Ref Port根据连接接口选择UNBAL/BAL/DIG,按下右侧按键区RUN,等待几秒钟即可在Carrier Shift栏中读取载波跌落值。

四核心设备:RWC2500A Plus
4.1 功能综述
RWC2500A Plus 是一款专业的广播调制分析仪,主要应用于AM/FM发射机测试,可单机实现射频参数、调制性能和音频层面的全面测试。
设备可实时解调 AM/FM(单声道和立体声),可测试载波功率、频率偏差、AM 调幅度、 FM 频偏及导频信号相关参数。设备支持实时输出解调后的音频信号。设备可配置音频发生功能,可输出基带音频信号,支持左右声道电平和频率的独立设置,同时具备数字(平衡)及模拟(平衡及非平衡)音频输出接口。设备具有音频分析功能,可分析解调后的基带音频信号,支持频域和时域分析,可显示音频的频谱和波形。
RWC2500A Plus基于多功能的组合可直接分析广播发射机的关键指标例如:载波参数、音频失真度、音频信噪比、音频频率响应和立体声音频分离度等,单台仪器实现发射机的指标测试,从而满足广电行业广播发射机的测试需求。
4.2 产品特点
• 支持AM/FM高精度解调和参数分析,支持立体声调频;
• 完全替代行业经典产品 FMAB;
•本振频率精度高达1ppb,SNR:AM:70dB(Typ.), FM:75dB(Typ.);
• 可解调输出基带音频,支持平衡/非平衡/数字接口;
• 可实时测试显示射频频谱,解调后音频的频谱和波形;
• 支持音频分析,可测量失真度、信噪比、频率响应和分离度等;
• 支持音频发生,可输出单音或扫频信号,支持多种接口;
• 支持自定义测试项上下门限,超门限指标将实时提示;
• 支持测试结果总览和数据导出,一键生成报告;
• 彩色触摸屏及按键协同操作。
4.3 性能指标





